[平面图形面积计算公式]
|
图 形 |
面 积 S |
|
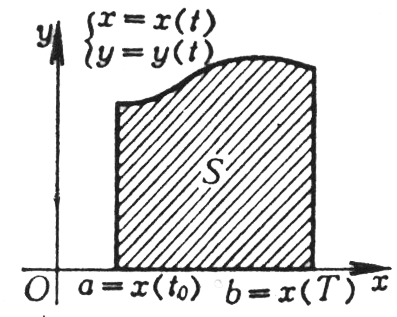
曲边梯形
|
|
|
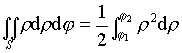
扇形
|
|
|
|
|
|
|
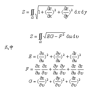
S= 或 S=2 式中 G到旋转轴的距离. |
|
曲面 在
柱面
|
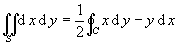
式中C为柱面的准线,ds为曲线C(A,B)上的弧的微 分 .
|