[Æ«µ¼Êý¼°Æä¼¸ºÎÒâÒå] Éè¶þÔªº¯Êý
u=f(x,y)
µ±±äÁ¿xÓÐÒ»¸ö¸Ä±äÁ¿¦¤x¶ø±äÁ¿y±£³Ö²»±äʱ,µÃµ½Ò»¸ö¸Ä±äÁ¿
¦¤u=f(x+¦¤x,y)£f(x,y)
Èç¹ûµ±¦¤x¡ú0ʱ,¼«ÏÞ
![]()
=![]()
![]()
´æÔÚ,ÄÇÄ©Õâ¸ö¼«ÏÞ³ÆÎªº¯Êýu=f(x,y)¹ØÓÚ±äÁ¿xµÄÆ«µ¼Êý,¼Ç×÷
»ò
,Ò²¼Ç×÷
»ò
,¼´
=
=
=
=![]()
=![]()
![]()
ÀàËÆµØ,¿ÉÒÔ¶¨Òå¶þÔªº¯Êýu=f(x,y)¹ØÓÚ±äÁ¿yµÄÆ«µ¼ÊýΪ
=
=
=
=![]()
=![]()
![]()
Æ«µ¼Êý¿ÉÒÔ°´ÕÕµ¥±äÁ¿º¯ÊýµÄ΢·Ö·¨ÔòÇó³ö,Ö»Ðë¶ÔËùÂÛ±äÁ¿Çóµ¼Êý,ÆäÓà±äÁ¿¶¼¿´×÷³£Êý.
Æ«µ¼ÊýµÄ¼¸ºÎÒâÒåÈçÏÂ:
¶þÔªº¯Êýu=f(x,y)±íʾһÇúÃæ,ͨ¹ýÇúÃæÉÏÒ»µãM(x,y,u)×÷һƽÐÐÓÚOxuÆ½ÃæµÄÆ½Ãæ,ÓëÇúÃæÓÐÒ»Ìõ½»Ïß,
¾ÍÊÇÕâÌõÇúÏßÔڸõãµÄÇÐÏßÓëxÖáÕýÏò¼Ð½Ç
µÄÕýÇÐ,¼´
=
.ͬÑù,ÓÐ
=
(ͼ5.5).

ͼ5.5
Æ«µ¼ÊýµÄ¶¨Òå²»ÄÑÍÆ¹ãµ½¶à±äÁ¿º¯Êýu=f(x1,x2,¡,xn)µÄÇéÐÎ.
[ƫ΢·Ö] ¶à±äÁ¿º¯Êýu=f(x1,x2,¡,xn)¶ÔÆäÖÐÒ»¸ö±äÁ¿(ÀýÈçx1 )µÄƫ΢·ÖΪ
![]()
Ò²¿É¼Ç×÷
.
[¿É΢º¯ÊýÓëȫ΢·Ö] Èôº¯Êýu=f(x,y)µÄÈ«¸Ä±äÁ¿¿ÉдΪ
=
+![]()
ʽÖÐA,BÓ릤x,¦¤yÎÞ¹Ø,
,Ôò³Æº¯Êýu=f(x,y)ÔÚµã(x,y)¿É΢·Ö(»ò¿É΢),Õâʱº¯Êýu=f(x,y)µÄÆ«µ¼Êý
,
Ò»¶¨´æÔÚ,¶øÇÒ
=A,
=B
¸Ä±äÁ¿¦¤uµÄÏßÐÔÖ÷²¿
=![]()
+
dy
³ÆÎªº¯Êýu=f(x,y)µÄȫ΢·Ö,¼Ç×÷
du=+
dy (1)
º¯ÊýÔÚÒ»µã¿É΢µÄ³ä·ÖÌõ¼þ:Èç¹ûÔÚµã(x,y)º¯Êýu=f(x,y)µÄÆ«µ¼Êý
´æÔÚ¶øÇÒÁ¬Ðø,ÄÇÄ©º¯ÊýÔڸõãÊÇ¿É΢µÄ.
¹«Ê½(1)¾ßÓÐÒ»½×΢·ÖµÄ²»±äÐÔ,¼´µ±×Ô±äÁ¿x,yÓÖÊÇÁíÍâÁ½¸ö×Ô±äÁ¿t,sµÄº¯Êýʱ,ÉÏÃæµÄ¹«Ê½ÈÔÈ»³ÉÁ¢.
ÉÏÊö½á¹û²»ÄÑÍÆ¹ãµ½¶à±äÁ¿º¯Êýu=f(x1,x2,¡,xn)µÄÇéÐÎ.
×¢Òâ,ÔÚÒ»¸öÒÑÖªµã,Æ«µ¼ÊýµÄ´æÔÚÒ»°ã˵À´»¹²»ÄÜÈ·¶¨Î¢·ÖµÄ´æÔÚ.
[¸´ºÏº¯ÊýµÄ΢·Ö·¨ÓëÈ«µ¼Êý]
(1)ã Éèu=f(x,y),x=
(t,s),y=
(t,s),Ôò
=![]()
+![]()
![]()
=![]()
+![]()
![]()
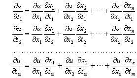
(2)ã Éèu=f(x1,x2,¡,xn),¶øx1,x2,¡,xnÓÖ¶¼ÊÇt1,t2,¡,tmµÄº¯Êý,Ôò

(3)ã Éèu=f(x,y,z),¶øy=
(x,t),z=
(x,t),Ôò
=![]()
![]()
=![]()
(4)ã Éèu=f(x1,x2,¡,xn),
x1= x1(t), x2=
x2(t),
,Ôòº¯Êýu=f(x1,x2,
)µÄÈ«µ¼ÊýΪ

[Æë´Îº¯ÊýÓëÅ·À¹«Ê½] Èç¹ûº¯Êýf(x,y,z)ºãµÈµØÂú×ãÏÂÁйØÏµÊ½
f(tx,ty,tz)=
f(x,y,z)
Ôò³Æf(x,y,z)ÊÇÒ»¸ök´ÎµÄÆë´Îº¯Êý.¶ÔÓÚÕâÖÖº¯Êý,Ö»ÒªËü¿É΢,¾ÍÓÐ
(Å·À¹«Ê½)
×¢Òâ,Æë´Îº¯ÊýµÄ´ÎÊýk¿ÉÒÔÊÇÈÎÒâʵÊý,ÀýÈç,º¯Êý
![]()
¾ÍÊÇ×Ô±äÁ¿x¼°yµÄ¦Ð´ÎÆë´Îº¯Êý.
[Òþº¯ÊýµÄ΢·Ö·¨] ÉèF(x1,x2,¡,xn,u)=0,Ôò


¡¡¡¡¡¡¡¡¡

![]()
(²Î¿¼±¾½Ú,ËÄ).
[¸ß½×Æ«µ¼ÊýÓë»ìºÏÆ«µ¼Êý] º¯Êýu=f(x1,x2,¡,xn)µÄ¶þ½×Æ«µ¼ÊýΪ
,
,¡,
ºÍ
,
,
,¡,ºóÕß³ÆÎª»ìºÏÆ«µ¼Êý.Èý½×Æ«µ¼ÊýΪ
,
,¡,
,
,
,¡¡£ÀàËÆµØ¿É¶¨Òå¸ü¸ß½×µÄÆ«µ¼Êý.
¹ØÓÚº¯Êý³Ë»ýµÄ»ìºÏÆ«µ¼ÊýÓÐÏÂÃæ¹«Ê½:Éèu,
¶¼ÊÇx1,x2,¡,xnµÄº¯Êý,Ôò

×¢Òâ,»ìºÏÆ«µ¼ÊýÒ»°ãÓëÇ󵼵ĴÎÐòÓйØ,µ«ÊÇ,Èç¹ûÁ½¸öͬ½×µÄÆ«µ¼Êý,Ö»ÊÇÇ󵼵ĴÎÐò²»Í¬,ÄÇĩֻҪÕâÁ½¸öÆ«µ¼Êý¶¼Á¬Ðø,ËüÃǾÍÒ»¶¨±Ë´ËÏàµÈ.ÀýÈç,Èç¹ûÔÚijһµã(x,y)º¯Êý
Óë
¶¼Á¬Ðø,ÄÇĩһ¶¨ÓÐ
(x,y)=
(x,y)
[¸ß½×ȫ΢·Ö] ¶þÔªº¯Êýu=f(x,y)µÄ¶þ½×ȫ΢·ÖΪ
d2u=d(du)=![]()
»ò¼ò¼Ç×÷
d2u=
ʽÖÐÆ«µ¼Êý·ûºÅ
,
¾Æ½·½ºó³öÏÖ
,
,
,ËüÃÇÔÙ×÷Óõ½º¯Êýu=f(x,y)ÉÏ,ÒÔÏÂÀàͬ.
¶þÔªº¯Êýu=f(x,y)µÄn½×ȫ΢·ÖΪ
dnu=
¶à±äÁ¿º¯Êýu=f(x1,x2,¡,xm)µÄn½×ȫ΢·ÖΪ
dnu=
[Æ«µ¼ÊýµÄ²î·ÖÐÎʽ]
(±íÖÐhΪxÖá·½Ïò²½³¤,lΪyÖá·½Ïò²½³¤)
|
ͼ ʾ |
²î ·Ö ¹« ʽ |
|||||||
|
|
|
|
||||||
|
|
|
|||||||
|
|
|
|
||||||
|
|
|
|||||||
|
|
|
|
||||||
|
|
|
|||||||
|
|
|
|||||||
|
|
|
|
||||||
|
|
|
|||||||
|
|
|
|||||||
|
|
|
|
||||||
|
|
|
|||||||
|
|
|
|||||||
|
|
|
|
||||||
|
ͼ ʾ |
²î ·Ö ¹« ʽ |
|||||||
|
|
|
|
||||||
|
|
|
|
||||||
|
|
|
|||||||
|
|
|
|||||||
|
|
|
|||||||
|
|
|
|||||||