| 四、完全随机设计的两样本几何均数比较 | 《预防医学》 |
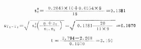
四、完全随机设计的两样本几何均数比较医学上有些资料为等比资料或正态分布资料,宜用几何均数表示其平均水平。比较两样本几何均数的目的是推断它们分别代表的总体几何均数是否相等。此种情况下,应先把原始数据X进行对数变换,用变换后的数据代入式(19.10)、(19.11)、(19.12)计算t值。 例19.8 将20名钩端螺旋体病人的血清随机分为两组,分别用标准株或水生株作凝溶试验,测得稀释倍数如下,问两组的平均效价有无差别? X1:标准株(11人)100,200,400,400,400,400,800,1600,1600,1600,3200 X2:水生珠(9人)100,100,100,200,200,200,200,400,400 H0: μ1=μ2 H1: μ1≠μ2 α=0.05 将两组数据分别取对数,以对数作为新变量X1和X2。 X1:2.000,2.301,2.602,2.602,2.602,2.602,2.903,3.204,3.204,3.204,3.505 X2:2.000,2.000,2.000,2.301,2.301,2.301,2.301,2.602,2.602 用变换后的数据计算 x1,s12;x2,s22再代入式(19.10)、(19.11)、(19.12)计算t值。 x1=2.794,s12=0.2043;x2=2.268,s22=0.0554
自由度v=11+9-2=18,查t界值表得t0.01(18)=2.878,今t=3.150>2.878,P<0.01,按α=0.05检验水准拒绝H0,接受H1,可认为两组平均效价不同,标准株高于水生株。
|
返回目录 |