三、生物物理学特征《理疗学》

三、生物物理学特征

超短波作用人体产生各种生理反应的基本因素是热效应和非热效应。

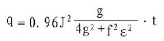
(一)热效应 由于人体是一个具有导电体和电介质的复合组织,在超短波作用下,体内同时形成了传导电流和位移电流。由于其频率更高,电介质的阻力越来越小,就形成了超短波治疗时,位移电流成分占优势,以介质损耗产热为主。但当频率极高时,偶极子就来不及转动或转动幅度极小,使介质损耗下降以至产热减少。这就说明产热随频率增加而增加的正比关系,只适用于一定范围之内的振荡频率。这种位移电流为克服介质阻力而产热,而介质损耗的大小与组织的介电常数密切相关,由于人体内各种组织的介电常数差别较小,故在超短波作用下产生的热分布比较均匀。这种产热情况比较复杂,可按公式分析

q-单位体积组织中产热量

J-电流密度g-导电率,等于q/ρ

f-频率ε-介电常数

t-通电时间

但在超短波电容电场治疗中,由于脂肪层中血管少,热量不易为血流带走,因此,其温度比供血丰富的肌肉还要高,据测定,波长7.34米超短波作用时,脂肪升温与肌肉升温之比达8:1,仍存在脂肪过热的缺点,实际治疗时可利用调整皮肤与极板间距使深部组织温度升高,皮及皮下脂肪温度降低(如图5.4.2)。

电容电场治疗时皮肤极板不同间隙时作用深浅及均匀程度

图5.4.2 电容电场治疗时皮肤极板不同间隙时作用深浅及均匀程度

A-电极近皮肤,B-电极远离皮肤,C-电极近凹凸面不均匀,

D-电极远凹凸面作用均匀

(二)非热效应 高频电作用机体时形成的非热效应机理和各种反应已于本章第一节中阐述,在超高频电容电场中之生物体,受电位差电压作用,超高频电振荡波引起细胞内物质共振,引起液体表面张力的改变,对一些物质的表面张力增高,对另一些物质的表面张力降低。高速交变的高频电磁波作用时,当电场强度最大瞬间,使细胞向电场方向伸展,而场强最小瞬间又恢复原状。适当频率的电场可使细胞充分伸缩,对细胞和组织产生特殊刺激,引起特殊生物学作用。

超短波特别在用低强度作用,且用目前一切方法均不能测出温度升高时,其生物学效应仍非常明显,而同样条件的外源热作用则无类似效应。如:当应用短时间无热量超短波作用人体时,对急性炎症的消退比长时间温热量作用时的效果更明显,此外还可以引起其他组织器官的反应,统称为非热效应。发现这种非热效应在低场强(40mw/cm2以下)作用时表现特别明显,高强度作用时这种特殊作用就被热效应所掩盖。

上一页:二、物理学特性
当前页:三、生物物理学特征
下一页:四、生理作用和治疗作用