2.
三角形各元素计算公式
[
高
]
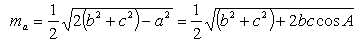
[
中线
]
[
角分线
]
[
面积
]
[
外接圆半径
]
[
内切圆半径
]