| 三、样本大小的估计 | 《预防医学》 |
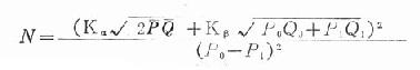
三、样本大小的估计定群研究样本大小的估计应根据: 1.暴露组的事件发生率(P1)的估计值; 2.非暴露组的事件发生率(P0)的估计值; 3.第一类错误概率α; 4.第二类错误概率β。 在该4个数值确定后,可用下式估计暴露组与非暴露组需观察的人数。
公式中N为每一组所需调查人数。 Q1=1-P1,Q0=1-P0 P=(P0+P1)/2,Q=1-P Kα与Kβ分别为α及β值的正态分布分位数,该数可从正态分布的分位数表中查出。 非暴露组的发病率P0可以根据人群一般发病水平来代替。而暴露组的发病率P1难以估计,若能够估计相对危险度(RR),则P1=RR×P0,RR可从预调查或文献资料中估计,也可用OR来代替,P1=OR×P0,OR可从病例对照研究中得来。 例 拟用定群研究方法研究孕妇暴露于某种药物与婴儿先天性心脏病之间的联系。假定已知非暴露组的发病概率P0=0.08,估计RR=2,当α=0.05,β=0.10时,估计需要的样本含量。 Kα=1.960,Kβ=1.282 P0=0.008,RR=2,P1=2×0.008=0.016 P=(0.008+0.016) /2=0.012 Q=0.988,Q1=0.984,Q2=0.992 代入公式:
即每组需要样本含量为3892人。
|
返回目录 |